Canadian Biomaterials Society
Société Canadienne des Biomatériaux

News All News

Save the Date for CBS2026! June 2–5, 2026 0 comments

by
Overview The Canadian Biomaterials Society CBS , the Canadian Society for Pharmaceutical Sciences CSPS , and the Controlled Release Society cc-CRS are joining forces to host a landmark joint conference at UBC Vancouver...
more

CBS Eastern Canada Research Day - Abstracts due Sept 15th 0 comments

by Patricia Comeau
Dear CBS Members Colleagues, We are excited to share that four of our Eastern Canada student chapters have organized a 2025 Canadian Biomaterials Society Eastern Canada Student Research Day ...
more

CBS Board of Directors Elections 2025 and CBS2027 Update 0 comments

by Lindsay Fitzpatrick
Dear CBS Member, I have a two important news items to communicate 1. CBS Board Member Elections It is now time to cast your votes for open positions on the CBS Board of Directors...
more

Meetings All Meetings

Discover

Investigating the Role of the Host Inflammatory Response in Modulating the Efficacy of Cell-Based Therapies for Vascular Regeneration comments

by Fiona Serack
Atherosclerotic vascular disease, including peripheral arterial disease PAD , is the leading cause of mortality in North America and Europe, with PAD accounting for 1 5 of all vascular disease...
more

Evaporation-induced surface crystallization of calcium phosphate and osteoclast activity comments

by Rizhi Wang Christina Chen
Osteoclastic activity influences bone remodelling process by degrading bone minerals and collagenADDIN RW...
more

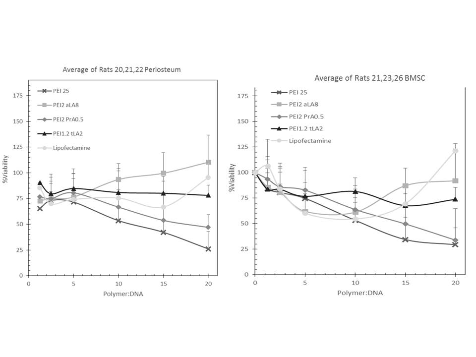
BMP-2 and PDGF Gene Delivery to Rat Skull Periosteum and Bone-Derived Cells by PEI Non-Viral Carriers comments

by Hasan Uludag Eleni Tsekoura
Bone regeneration remains an important hurdle in the field of tissue regeneration. Direct delivery of growth factors GF has received great attention due to their promising preclinical and clinical results...
more

A novel reprogramming method for neural tissue regeneration comments

by Stephanie Willerth Meghan Robinson
The transcription factor Ascl1 plays a key role in neural development. Recently Ascl1 was identified as a pioneer factor capable of reprogramming other cell types of the central nervous system into neurons using viral mediated overexpression1...
more

A Thermoresponsive Composite Hydrogel with pH dependent H2S Release Capabilities for Dental Pulp Stem Cells Capsulated for Local Treatment of Spinal Cord Injury comments

by abdullkhaleg ali Albashari
Spinal cord injuries SCI are appraised as one of the most serious neuronal degradation challenges world-wide 1, 2 ...
more

Connect

Active Job Postings

  • Assistant, Associate, or Full Professor in Bioprocessing and Biomanufacturing
    more
  • Research Associate in Next-Generation RNA Therapeutics at UBC
    more
  • Research Associate in Next-Generation RNA Therapeutics at UBC
    more
  • Postdoctoral Fellow (PDF) / PhD Positions: Atomic-Scale Protein Mapping on Biomaterials
    more

Recent Member Projects

  • Hamid Goodarzi: In situ printing of pro-regeneration biomaterials for corneal regeneration
    more
  • Shivam Chadha: anionic microgels for oral antibody delivery
    more
  • Thamali Kariyawasam: Engineering living photosynthetic algal-based wound dressing for diabetic foot ulcers
    more
  • Robert Wright: Bioeconomy and biomaterials
    more

Recent Member Publications

  • Alma Tamunonengiofori Banigo: Bioactive Hydrogels Based on Tyramine and Maleimide Functionalized Dextran for Tissue Engineering Applications
    more
  • Alma Tamunonengiofori Banigo: Injectable hydrogels for cartilage tissue engineering: key design needs toward clinical applications
    more
  • Alma Tamunonengiofori Banigo: Hydrogel-Based Bioinks for Coaxial and Triaxial Bioprinting: A Review of Material Properties, Printing Techniques, and Applications
    more
  • Alma Tamunonengiofori Banigo: Synthesis and Engineering of Hyaluronic Acid-Gelatin Hydrogels with Improved Cellular Attachment and Growth
    more
Close Drag